I love fools’ experiments. I am always making them. Charles Darwin.
Large mammal species are hard to survey. They are often camouflaged, cryptic and mobile. Here are some classic ways to estimate density and abundance.
Mark recapture
The classic historic method for counting animals “Mark-recapture” is conducted by physically capturing and recapturing animals, using an estimation of recapture probability to ascertain density. These methods were first developed in the 1930s and are neatly described here. Pollock 1991 Modeling capture, recapture and removal statistics for estimation of demographic parameters for fish and wildlife populations . Mark-recapture has been applied across Africa, Europe and North America and continues to be deployed by wildlife agencies. However it is expensive and invasive to the animal, particularly of concern when numbers are low.
Distance sampling
The main alternative method for density estimation has been “distance sampling”. This uses measurements of distance to animal to calculate the probability of detection i.e. the proportion of animals seen in a given area. It is an efficient survey means and often applied to sea mammals, birds, antelopes, smaller mammals and tortoises. The classic introductory paper was first published by The Wildlife Society here Burnham et al. 1980. Estimation of density from line transect sampling of biological populations. These methods have developed in sophistication and their spiritual home is now at University of St Andrews. Their website provides an abundance of helpful online courses and information http://distancesampling.org/ .
More recently wildlife biologists have turned to using sophisticated visual equipment.
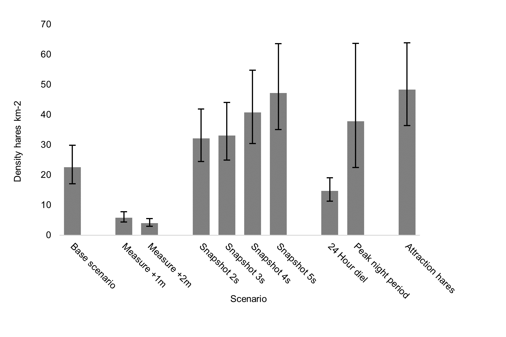
Thermal imager
This detects variation of heat against a background and works particularly well in cold conditions. It is great for finding nocturnal animals.

With a high powered thermal imager it is possible to detect medium sized mammals e.g. hares of 2-3kg, to a range of 1700 metres.

Using average detection distances, I made this comparison of methods and show that thermal imager can give you potentially the furthest and most effective detection rates.

night-time thermal imaging and camera traps. Wildlife Biology. Photographs showing the three different methods. (a) Daylight visual surveys, (b) thermal imager, (c) camera trap. Left column shows the observation equipment. Central column shows each method’s typical sighting of a mountain hare. Right hand column displays example survey location at site 1 for each method, duly surrounded by a buffer: measured to the furthest visual point (532 m) for daylight visual surveys; (740 m) thermal imager; for camera traps, buffer is portrayed to 333 m of each camera, the assumed home range of local mountain hares.
Camera traps
These are now perhaps the leading survey method used in wildlife surveys. Here the science literature is burgeoning with excellent innovative studies. Yet even capturing a wild animal on a camera is itself no easy feat.

There is an excellent how-to deployment guide here (take care it is a 20MB pdf download). https://www.wwf.org.uk/sites/default/files/2019-04/CameraTraps-WWF-guidelines.pdf. There is a more academically based introduction here. Sollman 2018 A gentle introduction to camera-trap data analysis. Some helpful examples of sophisticated camera trap studies include: https://wildcams.ca/ the camera Trap network for Western Canada studying medium / large mammals; https://www.hofmeester-natuur.nl/research/tech-citsci-wildlife/ the Scandcam camera trapping grids studying lynx in southern Norway; https://www.cheetah-research.org/camera-trapping cheetah density estimation surveys in Namibia.
With camera trap surveys there are particular challenges: 1) designing the spatial layout of the camera survey array, considering the home ranges of the target population so that groups of animals don’t fall through the spaces between cameras; 2) defining the detection event (i.e. how to treat multiple detections of the same individual); 3) measuring the movement of the target animal within the camera field of view. Leading analytic methods include the Random Encounter Model Rowcliffe et al. 2008 Estimating animal density using camera traps without the need for individual recognition which was notably deployed in Ireland, surveying European brown hares taking over the range of native Irish hares. Caravaggi et al. 2016 An invasive species replacement process captured by camera trap survey random encounter models. Alternatively distance sampling measurements can also be configured at camera trap sites. Howe et al. 2017 Distance sampling with camera traps and this method is improved upon here Hofmeester et al. 2016 A simple method for estimating the effective detection distance of camera traps. More recently my work with camera trap distance sampling highlighted some subjective assumptions which need to be reconciled within studies.
Please follow this link to read the paper which describes this research. Bedson, CPE, Thomas, L., Wheeler, P., Reid, N., Harris, W.E., Lloyd, H., Mallon, D. & Preziosi, R. (2021). Estimating density of mountain hares using distance sampling: a comparison of daylight visual surveys, night-time thermal imaging and camera traps. Wildlife Biology (Oikos). https://doi.org/10.2981/wlb.00802
Landscape genetics
This is a large, complex field of survey endeavour, and involves gathering genetic material to identify individual animals and estimate population size. Information can be used to plot animal location and habitat preferences, barriers to movement across the landscape and population gene flow. Here I worked with United States Geological Survey on their assessment of grizzly bear demographics in Montana Kendall et al. 2015 Density, distribution and genetic structure of grizzly bears in the Cabinet-Yaak Ecosystem
More recently I have been developing studies of hare genetics in northern England. This concerns ascertaining genetic diversity and sub-populations, and also extends to looking for hybrid mountain / brown hares. The work is ongoing. Funding and laboratory support is required to bring this to conclusion. Please contact me if you can help with that.











